05.06.2024
Работа в жару:
- в помещении
28 градусов тепла - вот максимальная температура на рабочем месте в помещении, оптимальная температура воздуха в теплое время года 22 - 24 градуса. До 01.03.2021 СанПиН предусматривал сокращение рабочего дня, если температура воздуха в офисе превышала эту цифру. Но сейчас эта норма на законодательном уровне больше не действует.
Работодатели либо объявляют простой, либо изменяют режим труда и отдыха так, чтобы обеспечить исполнение санитарных требований.
В Трудовом кодексе нет норм о том, что такое температурный режим и какая температура должна поддерживаться на месте работы, есть только указание в статье 212 на обязанность работодателя создать для работников безопасные условия труда.
В условиях жары обращаться за разъяснениями следует к подзаконным нормативным актам.
Максимальную и минимальную температуру на рабочем месте Трудовой кодекс не регулирует. Работодатель при формировании микроклимата обязан учитывать требования нормативной документации:
- СанПиН 1.2.3685-21, утвержденный Постановлением главного государственного санитарного врача РФ № 2 от 28.01.2021. Этот СанПиН регулирует нормы температурного режима на рабочем месте в летнее время в помещении в 2024 году: он устанавливает показатели микроклимата, категории по энергозатратам, требования по режиму в разное время года;
- ГОСТ 12.1.005-88, хотя и принятый в 1988 году, но действующий. В нем правила расписаны еще более подробно, например, указано, как определить, к какой категории энергозатрат относится конкретная профессия;
- рекомендации и разъяснения Роспотребнадзора. Отдельного регламентирующего документа по работе при высоких температурах воздуха нет, но есть рекомендации от 30.07.2014, информация от 02.07.2020. Их положения, в совокупности со ст. 212 ТК РФ, приобретают для работодателей обязательный характер.
Единая температурная норма для офиса не установлена. Показатель зависит:
- от категории работ по уровню энергозатрат. Чем меньше физических нагрузок, тем теплее помещение;
- времени года.
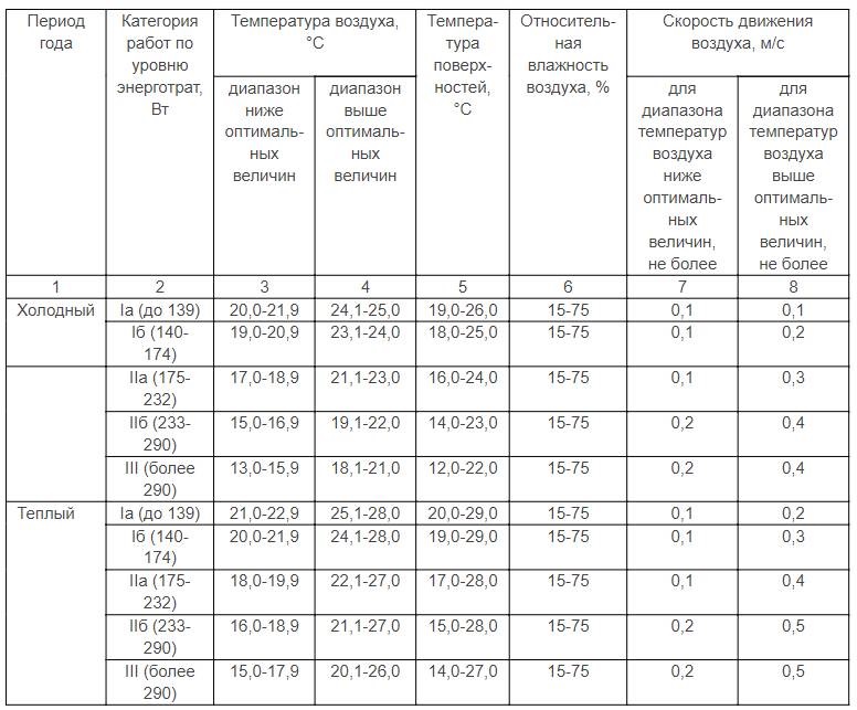
По СанПиН 1.2.3685-21, норма температуры в помещении летом такова: 23-25 градусов при относительной влажности воздуха в пределах 60-40%, температуре поверхностей — от 22 до 26 °С и скорости движения воздуха — до 0,1 м/с.
Для помещения показатели по СанПиН таковы (таблица 5.2 СанПиН 1.2.3685-21):

- на улице
Отдельного показателя, при какой плюсовой температуре нельзя работать на улице, в законодательстве нет.
В соответствии с разъяснениями и рекомендациями Роспотребнадзора, при осуществлении деятельности на открытом воздухе учитывайте следующее:
- работа при жаре свыше 32,5 °С на улице рассматривается как опасный фактор;
- следует по возможности перенести ее на утреннее или вечернее время;
- если на термометре выше 32,5 °С, продолжительность работы на открытом воздухе рекомендуется сокращать до 15-20 минут с перерывом на 10-12 минут;
- общая продолжительность работы на улице — не больше 4-5 часов за смену в специальной одежде, 1,5-2 часов — без спецодежды;
- рекомендуется использовать спецодежду и не допускать к трудовой деятельности на улице граждан моложе 25 и старше 40 лет;
- работников следует обеспечить питьевой водой и проинструктировать, как правильно поддерживать гидратацию организма (пить часто и понемногу и т. д.).
Если погодные условия делают температурный режим не соответствующим нормативам, надо принимать меры: обеспечить помещения кондиционерами или вентиляторами; перевести работников на удаленку, на деятельность в дистанционном режиме; объявить простой по не зависящим от сторон обстоятельствам.
Если нарушены температурные нормы, работодателю грозит наказание по ст. 5.27.1 КоАП РФ. Штраф по этой статье для юридических лиц составляет от 50 000 до 80 000 рублей.